中国海洋大学渔业海洋学实验室近日在国际权威海洋学期刊《Progress in Oceanography》上发表题为“Climate-induced long-term variations of the Arctic ecosystems”(气候变化下北极大海洋生态系长期变动)的研究论文。文章以宏观视角系统地探究了气候变化下北极大海洋生态系(Large Marine Ecosystems, LME)的长期变动模式、异同及其气候、环境驱动因子,对理解气候变化引起的北极渔业资源变动具有重要意义。
北极地区受全球气候变化影响显著,变暖趋势是全球变暖的两倍,被称为北极放大效应。北极的气候模态比如北极涛动(AO)等特别活跃并具有巨大的生态效应。北极海洋生态系对气候变化的响应研究大都集中在北极单一区域的大海洋生态系层面,缺乏对北极整体,尤其是鱼类生态系统长期变化及其对气候变化响应的理解。本研究应用降维工具贝叶斯动态因子分析模型(Bayesian DFA)和隐马可夫模型(HMM)等新方法,探究了北极海域八个LME的长期变化模式和跃变特征(图1),重点比较了气候变化影响下的北极大西洋和太平洋部分的生态系统响应差异。研究结果表明,北极大西洋部分LME主要变化模式表现为在20世纪70/80年代之前呈上升趋势,随后呈下降趋势,该模式主要受暖水性物种变化的主导。而北极太平洋部分LME主要变化模式在20世纪90年代之前呈上升趋势,该模式同样受到暖水性物种增加的影响。北极海域LME的生态系统跃变集中在20世纪70年代,且受气候、环境变化影响显著,尤其是大西洋多年代际振荡(AMO),对多个LME的长期变化模式均存在调控效应(图2)。
全球变化背景下北冰洋海冰的持续减少可能会使北冰洋公海具备商业捕捞的可能性。鉴于此,北冰洋沿岸的美俄加丹挪5国以及中日韩冰欧5个利益相关方签署了《预防中北冰洋不管制公海渔业协定》(CAOFA),协定已于2022年6月生效。缔约各方决定设立科学协调小组(SCG)开展海洋生物资源、生态系统研究,并建立监测项目(JPSRM),为如何在协定区进行探捕渔业(Exploratory Fishing)和未来商业捕捞的可能性提供科学依据。本研究从整体角度阐释了北极生态系统对气候变化的响应,从关键鱼种到鱼类群落梳理了北极LME的变动趋势,为理解北冰洋公海区未来渔业资源变动提供了重要的科学基础。
以南极科考为代表,渔业海洋学实验近年来积极参与我国极地渔业资源方面的科研工作,致力维护我国的极地渔业权益。该论文是渔业海洋学实验室首次发表北极渔业方向的成果,硕士研究生高子惠为文章第一作者,田永军教授为通讯作者。
论文链接://www.sciencedirect.com/science/article/pii/S0079661123000496

图1北极八个大海洋生态系的长期变动及跃变情况。(a)-(h)分别表示巴伦支海、格陵兰海、挪威海、冰岛海、西格陵兰海、楚科奇海、东白令海和西白令海 LME。

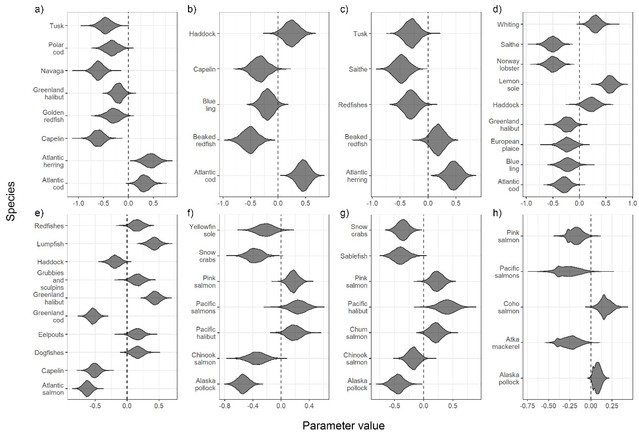
图2 受协变量(气候指数和环境因子)显著影响的物种汇总。(a)-(h)分别表示巴伦支海、格陵兰海、挪威海、冰岛海、西格陵兰海、楚科奇海、东白令海和西白令海 LME。

